Physics Blog

Click Here to go to Home Page of Physics Blog

Physics - Grade XI or Standard XI

Chapter 13: Magnetism

Magnetic lines of force:

Pursuing the analogy between electricity and magnetism, concept of magnetic lines of force is proposed as analogous to electric lines of force. A magnetic line of foce begins from N-pole and ends at S-pole. Inside the magnet, magnetic line of force begins from S-pole and ends at N-pole.



Poles of magnet:

Every magnet has two poles : N-pole (North pole) and S-pole (South pole). An isolated N-pole or S-pole cannot exists. If a magnet is broken into two pieces then every piece possesses two poles (N-pole and S-pole). Magnetic poles are said to be fictitious or imaginary. But concept of magnetic poles is very useful in study of magnetism.



Poles of magnet:

Every magnet has two poles : N-pole (North pole) and S-pole (South pole). An isolated N-pole or S-pole cannot exists. If a magnet is broken into two pieces then every piece possesses two poles (N-pole and S-pole). Magnetic poles are said to be fictitious or imaginary. But concept of magnetic poles is very useful in study of magnetism.



Click Here to Go To Top of The Page

Magnetic flux (φ):

Magnetic flux (φ) is defined as number of magnetic lines of force passing normally through a given area. SIUnit of magnetic flux is weber or Wb. Magnetic flux is given by the following expression:



φ = BA



where φ = magnetic flux, B = magnetic flux density, A = area. φ is a scalar quantity, whereas B and A are vector quantities. Direction of A is nothing but normal to the area. The dot product (aka scalar product, "aka" means "also known as") of B and A yields scalar quantity φ.



Magnetic dipole:

A bar magnet (or simply, a magnet) is also called as magnetic dipole.



Axis of magnet:

A line passing through both the poles of magnet is called an axis of magnet.



Equator of magnet:

A plane passing through centre of the magnet and perpendicular to its axis is called equator of magnet.



Click Here to Go To Top of The Page

Magnetic length (2 l):

The distance between the two poles of a magnet is called magnetic length (2 l). Also, notice:



magnetic length (2 l) = (5/6) × geometrical length of magnet.



Also, l (it is small L, and not one) is nothing but distance between any pole of magnet and centre of magnet.



Pole strength:

Pole strength is defined as the concentration of strength of magnetism at the poles. For north pole, it is ‘+m’ and for south pole, it is ‘–m.’ Its SIUnit is A.m (or ampere.metre).



Magnetic dipole moment (M):

The magnetic dipole moment M is defined as the product of its pole strength m and its magnetic length (2 l). Therefore, M = m 2 l. SIUnit of magnetic dipole moment is Am2. M and 2 l are vector quantities, whereas m is a scalar quantity. The direction of M or 2 l is same, it is directed from south pole to north pole.



Click Here to Go To Top of The Page

Equivalence between a magnetic dipole and a current carrying coil:

Notice the following points in this regard:



(a) A current carrying coil as well as a magnetic dipole produces magnetic field around them,



(b) the magnetic lines of force due to magnet and current carrying coil are similar,



(c) a magnetic dipole, when placed in an electric field of intensity E, is acted upon by a torque τ, given by:



τ = M B sin θ



a current carrying coil, when suspended in a magnetic flux density B, is also acted upon by a torque given by:



τ = n I A B sin θ



because of equivalence between these two torques, quantity M = n I A is called the magnetic moment of current carrying coil, here n = number of turns of wire in coil and A = area of coil, and θ = angle between area vector A and magnetic field B,



(d) the magnitude of magnetic induction B at a point along the axis of a short magnetic dipole is given by the expresison:



Baxis = (μ0 / 4π) × (2 M / r3)



whereas, the magnitude of magnetic flux density B at a point on the axis at a large distance (r) from the centre of circular coil carrying current I is given by the expression:



Baxis = (μ0 / 4π) × (2 n I A / r3)



Click Here to Go To Top of The Page

Torque acting on a magnet in uniform magnetic induction:

Torque acting on a magnet placed in uniform magnetic field is given by the expression:



τ = M B sin θ



where M = dipole moment of magnet, B = magnetic flux density, θ = angle between axis of magnet and direction of B. In vector form this expression is given as follows:



τ = M × B



Geographic axis of earth:

A straight line around which earth spins.



Geograpic meridian of earth:

At a given place, it is vertial plane passing through the geographic north and south of the earth.



Geographic equator of earth:

It is a great circle on the surface of earth, in a plane perpendicular to the geographic axis.



Magnetic axis of earth:

It is a straight line passing through the magnetic poles of the earth. It is inclined to the earth’s geographic axis by nearly 11.3o.



Magnetic meridian of earth:

At any place, it is a vertical plane passing through the magnetic north and south poles of the earth.



Click Here to Go To Top of The Page

Magnetic equator of earth:

It is a great circle on the surface of the earth, in a plane perpendicular to teh magnetic axis. It happens to pass through India near Trivendrum.



Magnetic (or field) declination:

Magnetic meridian varies from geographic meridian by a certain angle. The angle between the magnetic meridian and the geographic meridian at a place is known as magnetic (or field) declination or variation at that place.



Angle of dip:

The angle between the earth’s magnetic field at a place and the horizontal is known as the angle of dip at that place. It is 0o on the magnetic equator and 90o at the magnetic poles of the earth. At other places, its value lies between 0o and 90o. It is also given by the following expression:



tan δ = BV / BH



where δ = angle of dip, BV = vertical component of earth’s magnetic induction B, BH = horizontal component of earth’s magnetic induction B. Also,



B2 = (BV)2 + (BH)2



Click Here to Go To Top of The Page

Factors affecting strength of electromagnet:

Soft iron is highly suitable for making core of elec- tromagnet. The material used for core of electromagnet should have high value of saturation magnetization, low retentivity and low coercivity. Soft iron possesses these qualities.



Magnetic flux density due to a bar magnet at a point along the axis of a bar magnet:

Magnetic flux density Baxis due to a bar magnet at point P which lies along the axis of a bar magnet, is given by the following expression:

Magnetic flux density due to a bar magnet at a point along the axis of a bar magnet


where Baxis = magnetic flux density due to a bar magnet at point P and point P lies along the axis of magnet, μ0 = permeability of free space, r = OP = distance between centre of magnetic dipole O and point P, M = magnetic dipole moment. In this equation, Baxis and M are vector quantities.



Click Here to Go To Top of The Page

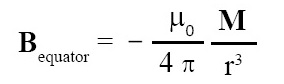
Magnetic flux density at a point along the equator of a bar magnet:

Magnetic flux density Bequator at a point P which lies along the equator of a bar magnet is given by:

Magnetic flux density at a point along the equator of a bar magnet


where, Bequator = magnetic flux density due to a bar magnet at point P and point P lies along the equator of magnet, μ0 = permeability of free space, r = OP = distance between centre of magnetic dipole O and point P, M = magnetic dipole moment. In this expression Bequator and M are vector quantities.



Click Here to Go To Top of The Page