Click Here to go to Home Page of Physics Blog

Physics - Grade XII or Standard XII

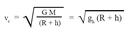
Expression for Critical Speed of Satellite (vc)

Expression for critical speed of satellite (vc):

Expression for critical speed of satellite (vc) is given below:

expression-for-critical-speed-of-satellite



Click Here to Go To Next Page Click Here to Go To Previous Page Click Here to Go To Top of The Page

About Shirish Chavan


CEO of Webilog, Mr. Shirish Chavan, is an internationally acknowledged computer programmer. He has authored more than ten books on computers and some of them were bestsellers. All the study material available on this website is written by him with great care.

GDPR Data Protection Rights


We would like to make sure you are fully aware of all of your data protection rights. Every user is entitled to the following:

The right to access – You have the right to request copies of your personal data. We may charge you a small fee for this service.

The right to rectification – You have the right to request that we correct any information you believe is inaccurate. You also have the right to request that we complete the information you believe is incomplete.

The right to erasure – You have the right to request that we erase your personal data, under certain conditions.

The right to restrict processing – You have the right to request that we restrict the processing of your personal data, under certain conditions.

The right to object to processing – You have the right to object to our processing of your personal data, under certain conditions.

The right to data portability – You have the right to request that we transfer the data that we have collected to another organization, or directly to you, under certain conditions.

If you make a request, we have one month to respond to you. If you would like to exercise any of these rights, please contact us.

Contact Us


To find out more, call us on +91-9923386970

Our WhatsApp number: +91-9049286955.

Our Email Id: webilog333@gmail.com


Visit us on facebook at: www.facebook.com\webilog